2015年湖北成考高起點數學必背公式:某些數列的前n項和
湖北2015年成考高起點數學必背公式:某些數列的前n項和
2015年湖北成人高考將于10月24、25日舉行,湖北成人高考網整理了2015年湖北成考高起點數學必背公式,希望對大家有幫助!
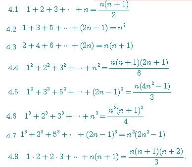
某些數列的前n項和

熱點關注:
結束
特別聲明:1.凡本網注明稿件來源為“湖北成人高考網”的,轉載必須注明“稿件來源:湖北成人高考網(ryvez.cn/ck/),違者將依法追究責任;
2.部分稿件來源于網絡,如有不實或侵權,請聯(lián)系我們溝通解決。最新官方信息請以湖北省教育考試院及各教育官網為準!
2.部分稿件來源于網絡,如有不實或侵權,請聯(lián)系我們溝通解決。最新官方信息請以湖北省教育考試院及各教育官網為準!
成考最新文章
成人高考政策
- 湖北成考報名繳費后因故無法參加考試能退費嗎?怎么退?
- 湖北成考報名時選擇業(yè)余還是函授學習形式?有什么區(qū)別?
- 2026年湖北成考網上報名系統(tǒng)預計何時開放?怎么報?
- 湖北成人高考專升本考生如何進行前置學歷在線認證?操作流程一覽
- 湖北成人高考高中/中專畢業(yè)證遺失如何辦理報考證明?附報考攻略
- 湖北成人高考同一專業(yè)在不同學校學費差異大嗎?學費最低多少?
- 湖北大學和武漢科技大學成考專業(yè)有何區(qū)別?速來了解!
- 湖北成考哪些學校開設了計算機科學與技術專業(yè)?速戳了解!
- 如何查詢湖北成考各校專業(yè)的往年錄取分數線?全攻略分享!
- 2026年湖北成考各高校招生簡章何時公布?含報名時間預測!
微信公眾號
抖音交流群
湖北成教網微信公眾號
隨時獲取成考政策、通知、公告及各類學習資料、學習方法、課件。







鄂公網安備 42011102000050號